
おいおい

特に条件が示されるわけでもなく、全く役に立たない鈎股弦であった。書いただけ~。問題を解く過程で必要だとしても、出題者が問題に描きこむ必要は全くない。大きなお世話だ。補助線は解答者がその都度生成すればよい。
図形自体も別段どうということのないもの。美しさとか巧妙さのかけらもない。「天球に浮かぶ2つの星・・・」がイメージできるなんてかなり奇特なお方だ。私は雨傘か落下傘にしか見えない。この弧が天球だと強弁するなら、股弦は円の中心に引くべきだと思うが、如何。
「依弧矢接鈎股」が余計。「病題(繁題)」(条件がないので教育的指導)。

クリックすると拡大します。
CADだと絵さえちゃんと描けば、簡単に求まっちゃう。
「十一寸有奇」って答で如何でしょう?
「十一寸一分九厘七毛六糸九忽五微有奇」この位書いておく?
「十一寸一分九厘七毛六糸九忽五微一沙四塵九埃九渺八漠六模糊三逡巡四須臾一瞬息八弾指六刹那六六徳八虚空六清浄六阿頼耶七阿摩羅七涅槃寂静有奇」これでどうだ?
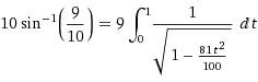
何としても数式でというなら、

クリックすると拡大します。
現代風に解けば:
弧 = 半径 * 2 * asin(弦 / 直径)
= 10 * asin(9 / 10)
= 11.197695149986341866866770558453996158951621864033028...

などという表現方法もある。
(逆)三角関数が禁じ手だった場合、地道に近似するしかない。

がんばっちくり。(映画)天地明察 関の設問 近似版
これって極論すると、円周率を求める問題だよね。1600年代のレベルですかねぇ。この辺の理論が確立するのは1700年代じゃぁありませんでしたっけ?確かに関孝和の円周率計算への貢献は大だが、こんな問題がほいほい解けるなら、関孝和はもとより、名だたる和算家達は誰も苦労はしなかった。
答が無理数じゃぁいかんとは言わないが、「明察」/「誤謬」の判定基準はどの辺にあるのだろう?
径一尺弦九寸って何か特殊な(例えば割りきれちゃう)条件で、私が気づかないだけなんだろうか?
そりゃぁ大発見だ。「円周率ついに割り切れる!」
算哲の答を失念したのは、返す返すも残念だ。DVDで確認しよう。算哲の答を覚えている方はご連絡ください。
10/01 追記:
どっかで見た問題だなぁと思っていたら、「括要算法 貞」(関氏孝和先生遺編・荒木村英検閲・大高由昌 校訂)十二丁オの求弧術の変形だね。「円率解」第三「求径率」で、 355/113 を求めた次の章にある問題だ。やはり円周率の文脈で吟味される問題だ。
求弧術 乃円率用周三百五十五尺径一百一十三尺
今有弧形只云弦八寸矢二寸則
問弧若干
答曰大弧九寸二分七厘二毛
九糸五忽三微強
小弧六寸四分三厘五毛
〇一忽一微六繊強
術曰【以下略】
今有弧形只云弦八寸矢二寸則
問弧若干
答曰大弧九寸二分七厘二毛
九糸五忽三微強
小弧六寸四分三厘五毛
〇一忽一微六繊強
術曰【以下略】

ときに、小弧 6.4350116 ってなんだろう。
10/02 追記:
何故だか、矢一寸の弧が小弧だねぇ。

10/02 追記:
解法はその次、十四丁オの
【十四オ】
【前略】
弧背率解第一 求甲截背
矢一寸弦六寸弧内如圖容二斜次容四斜次容八斜
次容一十六斜次第如此至三萬二千七百六十八斜
各以勾股術求弦以斜數相乘之各得截背[各所得勾股弦及背
數列于後]
弧背演段圖
【十四ウ】
に近い方法になるだろう。この場合も、直径は十。美しい。【前略】
弧背率解第一 求甲截背
矢一寸弦六寸弧内如圖容二斜次容四斜次容八斜
次容一十六斜次第如此至三萬二千七百六十八斜
各以勾股術求弦以斜數相乘之各得截背[各所得勾股弦及背
數列于後]
弧背演段圖
【十四ウ】
32768・・・美しい。コンピュータ屋は2のべき乗を見ると体が反応してしまうんだ。
10/4 追記:
「関孝和論序説」(上野 健爾、小川 束、小林龍彦、佐藤賢一著/岩波書店)にもまさに十一丁ウ・十二丁オが掲載されている。
P152 史料7
【十一ウ】
三百二十七 一百〇四 三一四四二三〇七六九強
三百三十 一百〇五 三一四二八五七一四三弱
三百三十三 一百〇六 三一四一五〇九四三四微弱
三百三十七 一百〇七 三一四九五三二七一微弱
三百四十 一百〇八 三一四八一四八一四八強
三百四十三 一百〇九 三一四六七八八九九一弱
三百四十六 一百一十 三一四五四五四五四五強
三百四十九 一百一十一 三一四四一四四一四四強
三百五十二 一百一十二 三一四二八五七一四三弱
三百五十五 一百一十三 三一四一五九二九二微強
如右求周數至周三百五十五徑一百一十三而比于
【十二オ】
定周雖有微不盡欲令之適合則周徑率及繁位故以
此而今爲定率也
求弧術 乃圓率用周三百五十五尺徑一百一十三尺

今有弧形只云弦八寸矢二寸則
問弧若干
答曰大弧九寸二分七厘二毛
九糸五忽三微強
小弧六寸四分三厘五毛
〇一忽一微六微強
術曰立天元一爲大弧〇|自之爲大弧冪〇〇|寄
【十二ウ】
丁度読んでるところだった。タイムリーだなぁ。三百二十七 一百〇四 三一四四二三〇七六九強
三百三十 一百〇五 三一四二八五七一四三弱
三百三十三 一百〇六 三一四一五〇九四三四微弱
三百三十七 一百〇七 三一四九五三二七一微弱
三百四十 一百〇八 三一四八一四八一四八強
三百四十三 一百〇九 三一四六七八八九九一弱
三百四十六 一百一十 三一四五四五四五四五強
三百四十九 一百一十一 三一四四一四四一四四強
三百五十二 一百一十二 三一四二八五七一四三弱
三百五十五 一百一十三 三一四一五九二九二微強
如右求周數至周三百五十五徑一百一十三而比于
【十二オ】
定周雖有微不盡欲令之適合則周徑率及繁位故以
此而今爲定率也
求弧術 乃圓率用周三百五十五尺徑一百一十三尺

今有弧形只云弦八寸矢二寸則
問弧若干
答曰大弧九寸二分七厘二毛
九糸五忽三微強
小弧六寸四分三厘五毛
〇一忽一微六微強
術曰立天元一爲大弧〇|自之爲大弧冪〇〇|寄
【十二ウ】
11/1 追記:
『天地明察』 関孝和の設問を解いてみた
真面目に取り組んでいらっしゃる。
















CID1350273758 たっちゃん — 2012/10/15@13:02:38
まともな問題は冒頭の「鈎股弦に内接する二等円」だけでした。この問題が映画では無視されていたのは不思議でした。この問題は金王八幡宮には現存してなかったからでしょうか?後でわかったことですが、この問題のソースは岡山県熊山町の八幡和気神社のようです。(ただし、三寸、四寸)さて、映画の問題の答は、(パソコンで予告編を見ると、)「答日十一寸一分九敢?厘有奇」です。疑問の「孤矢接鈎股」は、弓形の左半分に補助線を1本引いて、内接する鈎股弦をかくと理解できますが。算哲や関はいかにして答を算出したのでしょうか?区分求積法?「孤矢弦の術」は無為でした。